
全球化學化工與材料最新動態與趨勢週報(2026年4月17日)
本週報告聚焦中東衝突對全球化學產業的深遠影響。由於荷姆茲海峽航運中斷,全球20%油氣及關鍵石化原料供應受阻,預計市場恢復需至2027年。歐洲己內醯胺成本因原料短缺每噸調漲550歐元;BASF等企業短期利潤雖因競爭減少而激增,但面臨長期需求萎縮風險。反觀中國第一季GDP增長5%優於預期,為動盪的全球市場提供穩定支撐。

生技產業最新動態與趨勢週報(2026/4/8~15)
「2026年4月生技製藥產業最新動態報告」 (2026年4月15日發布) ,深入分析2026年4月8日至4月15日間 全球生技製藥業的核心動態 。

化學產業最新動態與趨勢週報(2026年4月10日)
2026年4月10日化學產業最新動態與趨勢周報,深度剖析石化、生技與特用化學三大領域動態 。面對中東戰火推升塑化原料成本漲幅達 20% 之衝擊,台灣石化業正加速轉型高值化,目標於 2026 年提升差別化產品營收至 56.4% 。此外,AI 正在重塑藥物化學,實現自動化藥物設計 ;而隨半導體製程演進,台廠成功打破美日壟斷,打入 CMP 研磨墊供應鏈 。面對美國藥品 232 關稅壓力,台灣生技廠亦積極展開全球布局,確保產業競爭力 。

台灣紅檜裡的化學奇蹟:野副鐵男與「七員環芳香族」的誕生
為什麼台灣紅檜能千年不腐?1930 年代,任教於台北帝大的化學家野副鐵男(Tetsuo Nozoe)從紅檜中分離出「檜木醇(Hinokitiol)」,並驚人地發現它並非傳統六員環,而是罕見的「七員環芳香族」。
這項發現不僅開啟了非苯環型芳香族化學的研究先河,更影響了今日醫藥與天然物合成的發展。
景明化工傳承對科學研究的支持,致力提供精準、穩定的化學試劑,與您一起探索下一個實驗室裡的奇蹟。

被忽略的台灣科學史人物:素木得一
26 歲帶著幾本參考書來到台灣,素木得一(Shiraki Tokuichi)在簡陋的木屋中開啟了台灣系統性的昆蟲研究。
他不僅成功引進澳洲瓢蟲解決了嚴重的介殼蟲害,更推動了影響至今的植物檢疫制度。
有趣的是,這位昆蟲學巨擘年輕時的首選其實是「化學」。雖然轉向了生物領域,但他嚴謹的分類與實驗邏輯,與化學研究的精神如出一轍。

📌 經典有機反應:Reimer–Tiemann 反應
【經典有機反應:Reimer–Tiemann 反應機制解析】
本文深入探討苯酚(Phenol)轉換為水楊醛(Salicylaldehyde)的關鍵機制——鄰位甲醛化反應。
透過二氯卡賓(:CCl₂)的生成與進攻,揭開有機化學電子運動的奧秘。
景明化工提供實驗室級與工業級關鍵試劑,支援您的合成研究需求。

台灣蓬萊米之父:磯永吉
大家都聽過「蓬萊米」,但你知道背後的推手是誰嗎?
被譽為台灣蓬萊米之父的 磯永吉,當年不畏炎熱氣候,與團隊深入研究土壤化學與植物營養學,才讓口感Q彈的日本型稻米在台灣落地生根。
這不僅是農業的成功,更是台灣 #農業化學 的重要起點。
直到今天,台大校園裡的「磯永吉小屋」依然見證著這段科學傳奇。


🔬 可替代 NaN₃、無爆炸風險
日本化學家開發新型安全叠氮化試劑 —— DPPA
在有機合成中,叠氮化反應(Azidation) 是非常常見的官能基轉換步驟,廣泛應用於藥物合成、多肽化學與精細化學品開發。

📢 景明化工|研究單位酒精現貨供應中
📲 LINE 購買 75% 酒精
🎁 即贈【細胞長生 × 雜菌退散】文創貼紙一組(研究人限定,數量有限)
消毒交給我們,好運交給貼紙 🧫✨

現在一堆人在聊瘦瘦針,但你知道瘦瘦針規模與是甚麼嗎?
🌍 什麼是 GLP-1?為什麼這類藥物正在改變全球醫療市場?
近幾年,你一定常聽到 GLP-1、司美格魯肽、替爾泊肽、減重針,
但 GLP-1 到底是什麼?為什麼它能同時控糖又減重?

Jones Hydroxypyrazine Synthesis|2,3-二羥基吡嗪的經典一鍋法
重點一句話:
以**乙二醛(Glyoxal)與草醯胺(Oxamide)在甲醇/鹼性條件下縮合、關環,經酸化與碳酸氫鈉處理後,得到2,3-二羥基吡嗪(Hydroxypyrazine)**骨架。
此法步驟短、原料易得,適合教學與小試放大。

🌟 化學系 vs 化工系:差異到底在哪裡? 🌟
許多學生在選擇就讀化學系或化工系時常常猶豫不決,
到底這兩個系別的核心差異在哪裡呢?
臺灣大學化學系蔡蘊明教授的解釋深入又貼切,讓我們一起來了解!

🌟 司美格魯肽登頂「藥王」!化學合成打破技術壁壘,就靠這些中間體!
8 月 6 日,全球糖尿病治療龍頭 諾和諾德(Novo Nordisk) 發布 2025 年上半年財報,
公司整體實現營收約 228.54 億美元(YoY +18%),
其中明星產品 司美格魯肽(Semaglutide) 貢獻高達 166.83 億美元,
超越默沙東的 K 藥(Keytruda,151.61 億美元),榮登 2025 年上半年「全球藥王」🏆。

🔬 看不見的千疮百孔,卻是材料界的「萬能鑰匙」
在微觀世界裡,有一類材料因其獨特的「內涵」而成為科學家們的寵兒——
它就是 介孔材料(Mesoporous Materials)。

🐷【#豬肉氣味偵測器|我小四在玩泥巴,他小四在申請專利】
👀 老師對不起,我真的沒想到有同學這麼早就開始偵測「豬味」了。
最近很紅的這項發明:
👉 以 2,3-Octanedione 這個分子作為「豬肉氣味」的判定依據。
但我們稍微查一下資料 再翻翻論文庫,就會發現——

🌟【開啟配位插入聚合新時代】
空氣中也能操作的 Pd 催化劑登場!
來自美國 康奈爾大學 (Cornell University) 的 Fors/Coates 教授團隊,與 卡內基梅隆大學 (Carnegie Mellon University) 的 Noonan 教授合作,近日於 J. Am. Chem. Soc. 發表突破性研究:
他們開發出一種 穩定、易操作的單組分催化劑 (Ad₃P)Pd(Me)SbF₆,成功實現降冰片烯類(Norbornene-type)單體的「活性配位插入聚合 (Living Coordination–Insertion Polymerization)」。

⚡【景明化工|材料前沿】
可逆鋅負極的突破!2D 金屬-有機骨架 (MOF) 離子篩界面原位生長
在水系鋅電池的世界裡,安全、低成本、環保一直是它的優勢。
但困擾科學家的最大問題,是——鋅枝晶生長與副反應,這兩大挑戰嚴重縮短了電池壽命。

⚡ 可穿戴自供電科技新突破:印刷 PVDF 薄膜 × 鈷基 MOF = 高效 TENG!
韓國光雲大學(Kwangwoon University)Tae-Jun Ha 教授團隊於 2024 年發表於 Energy & Environmental Materials 的最新研究,
成功開發出基於印刷聚偏氟乙烯(PVDF)薄膜與鈷基金屬有機框架(Co-MOF) 的高性能可穿戴摩擦納米發電機(TENG)。
👉 DOI: 10.1002/eem2.12675

⚠️ 日本實驗室悲劇震撼學界:停電搬乾冰降溫,研究生缺氧身亡—科學的代價,往往是安全的疏忽
日本德島大學(Tokushima University)藥學研究科,近日發生一起令人心碎的實驗室事故。
為了應對校園停電,一名研究人員在低溫培養室內放入約 31 公斤乾冰以維持溫度。

✅ CnH₂n+₂ 烷烴家族
認識有機化學的起點——前 10 種直鏈烷烴!
從 甲烷 (CH₄) 到 癸烷 (C₁₀H₂₂),它們都遵循通式 CnH₂n+₂ 。
每增加一個碳,就會多出兩個氫,形成一個「同系物系列 (Homologous Series)」的飽和烴類。

☕ 為什麼讀化學的人喜歡玩咖啡?
因為我們更懂得風味背後的化學奧祕!🔬
就算你不是咖啡控,也可能聽過那款傳奇又奢華的——貓屎咖啡(Civet Coffee)。
這種咖啡由麝香貓吃下成熟的咖啡果,經腸胃消化後排出,再取出咖啡豆清洗、烘焙製成。
一杯售價可高達 75 美元,是普通咖啡的上百倍!
但究竟是什麼,讓它的香氣與風味如此與眾不同?

⚗️【錢思亮教授:從化學博士到台大校長與中研院院長,讓台灣科學扎根的先行者】-「化學,是理解世界的語言。」
當我們今天走進任何一間大學實驗室,看到學生穿著白袍、熟練地操作試劑時,
這樣的畫面,其實要感謝七十多年前,一位帶著信念與粉筆來台的化學家——
錢思亮教授(1908–1983)。

🌿【綠色磷化 × 高效氧析出】有機磷層修飾的 CoFe-LDH 電催化劑突破
在永續能源與氫能經濟快速發展的時代,如何以「綠色化學」方法製備高效電催化材料,是材料科學的關鍵挑戰。
近期發表於 Small 期刊的研究團隊,提出一種以天然植酸(Phytic Acid, PA)為磷源的環保合成策略,成功製備出有機磷層修飾的 CoFe-LDH/Co(OH)₂ 電催化劑,展現出卓越的氧氣析出反應(OER)性能與長期穩定性。

🔬臺灣化學的起點:從總督府研究所化學部說起(1909–1921)
當我們今天走進實驗室、打開分析儀器、測量純度與反應速率,
很少人知道——一百多年前的台灣,化學研究就已經開始萌芽。
那時的研究所不叫「中研院」或「大學」,而是:「臺灣總督府研究所化學部」。

💡小時候的遊戲?不,這是一篇 Nature!
還記得小時候玩過的自製降落傘嗎?
幾根線、一塊手帕、一顆小石頭——登高一丟,看著它在空中悠悠飄下,就是整個下午的樂趣。
現在,這個童年遊戲登上了頂級期刊 《Nature》。

🌟 2025版《中國藥典》正式實施!CATO標準物質助您從容應對!
📅 自 2025年10月1日 起,2025版《中國藥典》全面上路,對藥品品質控制提出更高要求。
作為景明化工代理品牌,CATO 已率先完成新版藥典標準物質全覆蓋,協助製藥企業、藥檢單位、科研實驗室快速銜接新規。

⚡【固態電池新革命:Nuvvon × Thermo Fisher 推動更安全、高效的能源未來】
固態電池(Solid-State Battery, SSB)被視為下一代能源儲存的關鍵技術,能解決傳統鋰電池在安全性、能量密度與熱穩定性上的限制。
來自美國新澤西的創新公司 Nuvvon,結合 Thermo Fisher Scientific 的材料解決方案,正引領全球電池製造邁入全固態時代。

📢【液態氮保存的智慧升級】 CryoEssence 系列液態氮儲存桶
在現代實驗室中,樣品保存不只是「低溫」,更講究「智慧監控」與「遠端管理」。
CryoEssence 系列正是為此而生的全方位解決方案。

💡【化學探針:開啟新藥發現的關鍵之鑰】
在藥物開發的早期階段,「化學探針(Chemical Probes)」能協助研究人員釐清蛋白作用機制、驗證靶點與疾病之關聯,進而降低臨床開發風險。
與臨床藥物不同,化學探針不需具備生物可利用性或藥代安全性,但必須具備 高選擇性、高活性與明確作用機制(MoA),才能在細胞或動物模型中提供可靠的生物學驗證。

📢 臺灣之光|2025 全球前 2% 頂尖科學家榜單公布
Elsevier 與史丹佛大學團隊公布了最新的「2025 世界前 2% 頂尖科學家名錄」,根據全球 Scopus 資料庫長期統計,以學術影響力、引用數與研究成果為評比依據。
今年臺灣表現依舊亮眼,入榜學者超過 1,000 位,展現科研實力與國際影響力!

🌟 2025 年諾貝爾化學獎揭曉|「金屬有機骨架 MOF」問鼎最高榮譽!
瑞典皇家科學院於 2025 年 10 月 8 日 公布,
今年的 諾貝爾化學獎 授予三位在材料化學領域開創新時代的科學家:
北川進(Susumu Kitagawa)
理查德・羅布森(Richard Robson)
奧馬爾・M・亞吉(Omar M. Yaghi)

⚗️ 有機合成的靈魂操作|實驗室最常見的反應大整理!
在有機化學的世界裡,「反應」就是魔法。
不論是藥物開發、材料設計,還是實驗室的日常研究,
這些經典反應是化學人構築分子的基石 🔬
今天就帶大家快速回顧「有機合成的四大核心反應」👇

一張圖看懂「芳基重氮鹽」的 19 種經典反應!
你知道嗎?
一個小小的 重氮鹽(Ar–N₂⁺),竟能變出上百種芳香化合物!
它是有機合成裡最「百變」的中間體之一,可用來導入鹵素、氰基、羥基、氫原子,甚至進行偶聯、取代、還原、成環等多種反應。

🔬 無菌操作常見誤區:你踩過哪些坑?
無菌操作是微生物實驗、細胞培養等工作的基石。看似簡單的動作,卻藏著許多容易忽視的陷阱。
一個小小的污染,就可能讓數週的努力前功盡棄。以下整理幾個常見誤區,看看你有沒有中招👇


🔬【DMF:不只是一個溶劑,還能「神助攻」反應!】
大家在實驗室應該對 DMF(N,N-二甲基甲醯胺)不陌生吧?🙋♂️
它常常被拿來當反應溶劑,因為在 DMF 裡,很多離子型反應速度會快得驚人。
這都要歸功於它的分子結構設計——氮原子被兩個甲基保護住,正電端難靠近,反而讓氧原子暴露在外,可以大幅提升負離子的活性。

2025 搞笑諾貝爾獎來了!🤣 給母乳加蒜香?給牛刷斑馬線?吃不粘鍋涂層能減肥?……
每年 9 月,全球科學界都會迎來一場「最不嚴肅卻又最值得深思」的盛會——搞笑諾貝爾獎(Ig Nobel Prize)。
這個獎項創立於 1991 年,宗旨是獎勵那些「先讓人發笑,後讓人思考」的研究。
2025 年的頒獎典禮在美國波士頓大學舉行,今年的得獎研究依舊腦洞大開。

🌿 嬰兒與寵物相伴,免疫力更強?科學告訴你答案!
許多爸媽擔心「養毛小孩」會不會讓孩子更容易過敏或氣喘,其實,最新的流行病學研究告訴我們:
在嬰幼兒時期就與狗狗、貓咪或農場動物共同生活,能降低孩子過敏和氣喘的風險!

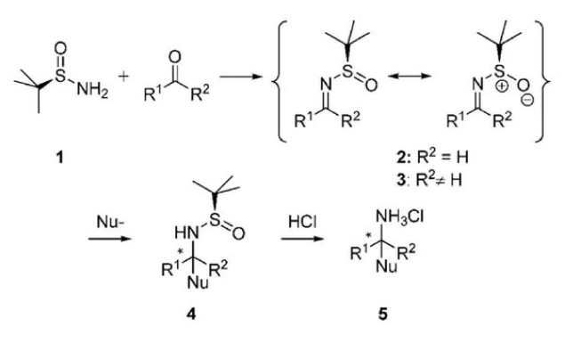
🌟 常用不對稱合成試劑 —— Ellman 亞胺 🌟
在不對稱合成領域裡,Ellman 亞胺 (Ellman’s Imine) 可說是最經典的手性輔助劑之一。
1997 年由 UC Berkeley 的 Jonathan A. Ellman 教授團隊開發,利用手性叔丁基亞磺酰胺 (tert-Butanesulfinamide) 與醛/酮縮合,能高效生成穩定且可大量應用的手性亞胺。

💧為什麼注射用水的細菌內毒素標準要定在 0.25 EU/mL?
為什麼注射用水的細菌內毒素標準要定在 0.25 EU/mL?
大家可能常聽到「無熱原水」或「注射用水(WFI)」,但你知道裡面的安全標準有多嚴格嗎?
什麼是細菌內毒素?
EU 是什麼單位?
為什麼限度是 0.25 EU/mL?

💊製藥人必看:台灣 GMP 審查關鍵重點!
GMP(PIC/S GMP)審查的核心,就是要確保藥廠從 人員、設備、物料、製程到品質管理,全流程都符合規範。
以下整理出 TFDA 實務查廠中常見的重點與缺失,給大家參考👇

🔬 Thermo Scientific Chemicals n-Butyllithium, 1.6M solution in hexanes, AcroSeal™
⚡ 800 mL 現貨供應!
無機有機合成領域的黃金試劑,常用於 C–C 鍵構築、去質子化、金屬化與有機鋰反應。
產品特點:
高純度,高活性,合成研究必備
AcroSeal™ 專利包裝,操作更安全
廣泛應用於藥物化學、材料科學及精細化工合成

🔬 PBS 中 4% 多聚甲醛 (Paraformaldehyde) 溶液
✅ 產品特色
高純度 & 無甲醇配方:不含 Methanol,減少對組織結構與免疫染色結果的干擾。
廣泛應用:常規組織學檢測、免疫組織化學 (IHC)、生物樣本固定保存。
研究專用 RUO:品質可靠,僅供研究使用 (Research Use Only)。
操作便利:可與水完全混溶,實驗操作更穩定。

🌐 Thermo Fisher 化學品|台灣一級代理商
景明化工自1986年起,成為 賽默飛世爾 Thermo Fisher 的化學品一級代理商,提供超過 200,000 種化學品,從克級、公斤級科研試劑,到噸級工業原料,應用領域涵蓋:生命科學、醫藥、檢測、環保、新材料、新能源、半導體等行業。多年來,我們憑藉專業的售前售後服務,贏得各大高校、科研院所與生產企業的信賴。

🔬 室溫條件下也能成功的 Ullmann 偶聯反應?!
過去幾十年,雖然 Pd 催化偶聯 在有機合成中大放異彩,但 Pd 催化劑價格高、金屬殘留毒性大,對藥物合成影響頗多。相比之下,銅催化劑不僅價格便宜 500 倍以上,殘留耐受性也比 Pd 高 30 倍,因此成為近年來藥物合成與綠色化學中的新寵。

🔬 實驗室安全小教室|實驗廢液安全指南 ♻️
#廢液相容表 免費索取 #請聯絡業務人員
台中某國立大學連續傳出實驗室事故——
學生處理強酸廢液不慎,產生大量白色氣體,引發火警,所幸人員已即時撤離。
這樣的新聞再次提醒我們:
👉 實驗廢液處理不是小事,更是科研工作者必修的「安全課」。


🔹 三氟醋酸 (TFA, Trifluoroacetic Acid)
三氟醋酸 (TFA) 是有機合成與分析中常見的重要氟化試劑,因其強酸性、揮發性及高溶解度特性,廣泛應用於:
肽合成 (Peptide Synthesis):去保護基 (Cleavage of protecting groups)
高效液相層析 (HPLC):移動相添加劑,提高峰形與分離效率
有機合成:酸催化反應、試劑溶解輔助

🔬 阿拉丁染色劑與染料|科研顯影的最佳選擇 🌱
染色劑(Stains)與染料(Dyes)在生命科學研究中扮演關鍵角色,從分子標記、細胞成像到功能分析,都能幫助研究人員精準觀察與分析。
景明化工代理的 阿拉丁(Aladdin) 染色劑與染料系列,提供高純度、高穩定性的產品,支援您在免疫檢測、蛋白質分析、細胞成像及活性測定上的各種需求。

🔬 Peptide Synthesis|標準與綠色合成的新選擇 🌱
胜肽(Peptides)因其高專一性、生物相容性與可設計性,廣泛應用於新藥開發、診斷檢測、化妝品、農業、生醫材料等領域。隨著研究規模與應用不斷擴大,對高品質化學品的需求也日益增加。
景明化工代理 Thermo Fisher Scientific,為您提供 從標準到綠色合成 的完整解決方案:

⚡【重磅 Nature|FlowER:AI反應預測邁向物理一致性新紀元】⚡
在化學反應設計與機制推演中,質量守恆與電子守恆 是最基礎、最不可動搖的定律。傳統的機器學習反應預測模型,雖然在產物「猜測」上表現亮眼,但常常違反守恆規律,產生所謂 “hallucination errors” 幻覺錯誤 ——例如生成不可能存在的反應物或產物,導致難以被化學家信任。

🌟 《減肥,其實是一場化學大冒險!》
👑在人體的「代謝王國」裡,脂肪是一位安靜又貪睡的「儲能大臣」,
平常乖乖待在肚子、大腿、腰間,直到有天聽見一個驚天噩耗:
💥「女主人要減肥了!!!」
脂肪大臣嚇到發抖:「什麼?!她要讓我燃燒?!」
於是,一場關於【脂肪燃燒 × 熱量赤字 × 化學代謝】的冒險正式開啟——

🔥 芳香環也能開!化學界超越「共振穩定」極限的新突破! 🔥
🌟 Nature 最新研究:芳香環也能「開環復分解」!
Aromatic Ring-Opening Metathesis (ArROM)
Basel 大學 Christof Sparr 團隊發表於 Nature 2025, 638, 697
DOI: 10.1038/s41586-024-08472-z

🌍 CATO 重磅推出|抗生素系列「亞硝基雜質」標準品
亞硝基雜質(Nitroso impurities)因具潛在基因毒性(Genotoxicity),其在藥品中的存在已被全球藥監機構列為高度關注議題。自 2018 年「缬沙坦事件」後,世界各國陸續發布多項亞硝胺雜質控制指南,成為製藥研發與質量控管的重要環節。
對於抗生素類藥物而言,由於分子結構中常含有胺基等易形成亞硝基化合物的基團,因此亞硝基雜質的檢測與控制尤為關鍵。

創傷傷口護理指引-守護他人時,也要記得保護好自己的健康與安全❤️
超人們救災辛苦了!
守護他人時,也要記得保護好自己的健康與安全
在救災、清理或搬運現場中,難免會有擦傷、割傷。
很多人覺得「只是小傷」沒關係,但若忽略清潔與消毒,
細菌感染(像蜂窩性組織炎、海洋弧菌感染)可能讓小傷口變大危機。
受傷 → 輕忽 → 感染 → 惡化
別讓自己的努力被傷口拖垮!



