2025.11.12
小知識+
🌟 常用不對稱合成試劑 —— Ellman 亞胺 🌟
🌟 常用不對稱合成試劑 — Ellman 亞胺 🌟



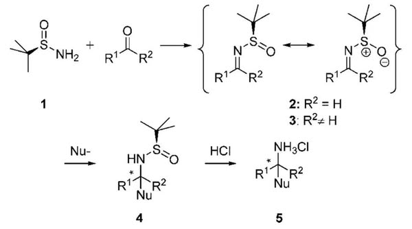
在不對稱合成領域裡,Ellman 亞胺 (Ellman’s Imine) 可說是最經典的手性輔助劑之一。
1997 年由 UC Berkeley 的 Jonathan A. Ellman 教授團隊開發,利用手性叔丁基亞磺酰胺 (tert-Butanesulfinamide) 與醛/酮縮合,能高效生成穩定且可大量應用的手性亞胺。
MgSO₄ / PPTS 催化系統,在室溫即可生成亞胺,幾乎不會外消旋化。
Ti(OEt)₄ / CuSO₄ 是經典縮合催化劑,對醛特別有效。
B(OCH₂CF₃)₃(2015 年 Boehringer Ingelheim 開發)能在更溫和條件下製備 Ellman 亞胺。
生成的亞胺多為 E-構型,且在酸性條件下(HCl/MeOH)可輕鬆去保護。
與 有機金屬試劑 (RLi, RMgX) 反應 → 高非對映選擇性胺類。
Strecker 反應 → 合成 α-氨基酸。
Mannich 型反應 → β-氨基酸與藥物前驅物。
學術研究 & 工業製程均廣泛應用。
(R)-或(S)-tert-Butanesulfinamide(手性叔丁基亞磺酰胺)
CAS: 123622-13-9
Trityl sulfinamide(三苯甲基次磺酰胺)
CAS: 87840-74-0
Titanium(IV) ethoxide, Ti(OEt)₄(四乙氧基鈦)
CAS: 3087-36-3
Copper(II) sulfate(硫酸銅)
CAS: 7758-98-7
Magnesium sulfate, anhydrous(無水硫酸鎂)
CAS: 7487-88-9
Pyridinium p-toluenesulfonate, PPTS(對甲苯磺酸吡啶鹽)
CAS: 24057-28-1
Boron tris(2,2,2-trifluoroethoxide), B(OCH₂CF₃)₃(三(三氟乙氧基)硼)
CAS: 2405-74-9
J. Am. Chem. Soc. 1997, 119, 9913.
Acc. Chem. Res. 2002, 35, 984.
Chem. Rev. 2010, 110, 3600.
Org. Lett. 2015, 17, 2442.