2025.10.28
小知識+
🔥 芳香環也能開!化學界超越「共振穩定」極限的新突破! 🔥

Aromatic Ring-Opening Metathesis (ArROM)
Basel 大學 Christof Sparr 團隊發表於 Nature 2025, 638, 697
DOI: 10.1038/s41586-024-08472-z
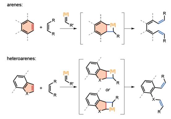
• 首次實現芳香環「開環復分解」(Aromatic Ring-Opening Metathesis, ArROM)反應。
• 使用 Schrock–Hoveyda 型鉬 (Mo) 催化劑,能打開芳香碳–碳鍵並重新組合。
• 無需額外試劑或光激發,反應條件溫和。
• 適用於多種芳香骨架:tetraphene、萘、菲、吲哚、苯並呋喃。
• 可結合 RCM(環閉合復分解)達成雙重或三重串聯反應。
• 延伸開發阻轉選擇性 ArROM(AArROM),能控制軸手性構型。
• 成功應用於多環芳烴 (PAHs) 與手性分子的合成。
• Schrock–Hoveyda 型 Mo 催化劑(C1, C2)
→ 主要用於 ArROM 的鉬金屬烷基烯催化劑
→ 無固定 CAS(實驗室自製 Mo–alkylidene 錯合物)
• 手性配體 L1 / L2
→ 用於 AArROM 反應,控制軸手性中心
→ 無固定 CAS(專屬合成配體)
• (Ra)/(Sa) 型手性催化體系
→ 手性 Schrock–Hoveyda 鉬配體組合,用於高 e.r. 反應
→ 無固定 CAS(配體自行設計)
這項研究突破了「芳香環太穩定、無法被催化開環」的長期迷思,
展示了利用鉬金屬烷基烯催化劑的 ArROM 策略,
不僅能有效開環芳香骨架,還能精準控制立體選擇性。
對有機合成、材料化學與手性設計領域來說,
都是極具潛力的新工具 

V. Hutskalova & C. Sparr, Nature 2025, 638, 697.
DOI: 10.1038/s41586-024-08472-z
參考文獻:Chem. Rev. 2015, 115, 9981;JACS 2024, 146, 16963.